85+ pages when one mole of monoatomic gas is mixed 1.7mb. Can you explain this answer. The molar specific heat of the mixture at constant volume is i. HOME BECOME A TUTOR BLOG CBSE QUESTION BANK PDFs MICRO CLASS DOWNLOAD APP. Read also mixed and learn more manual guide in when one mole of monoatomic gas is mixed If one mole of a monoatomic gas 53 is mixed with one mole of a diatomic gas 75 the value of for the mixture is a 140 b 150 c 153 d 307.
One mole of ideal monoatomic gas 53 is mixed with one mole of diatomic gas 75. When 1 mole of monoatomic gas is mixed with 2 moles of diatomic gas then find C_P C_v f and gamma for the mixture of gases.

One Mole Of An Ideal Monoatomic Gas Is Mixed With 1 Mole Of An Ideal Diatomic Gas The Molar Specific Heat Of The Mixture Is
| Title: One Mole Of An Ideal Monoatomic Gas Is Mixed With 1 Mole Of An Ideal Diatomic Gas The Molar Specific Heat Of The Mixture Is |
| Format: ePub Book |
| Number of Pages: 347 pages When One Mole Of Monoatomic Gas Is Mixed |
| Publication Date: April 2017 |
| File Size: 3mb |
| Read One Mole Of An Ideal Monoatomic Gas Is Mixed With 1 Mole Of An Ideal Diatomic Gas The Molar Specific Heat Of The Mixture Is |
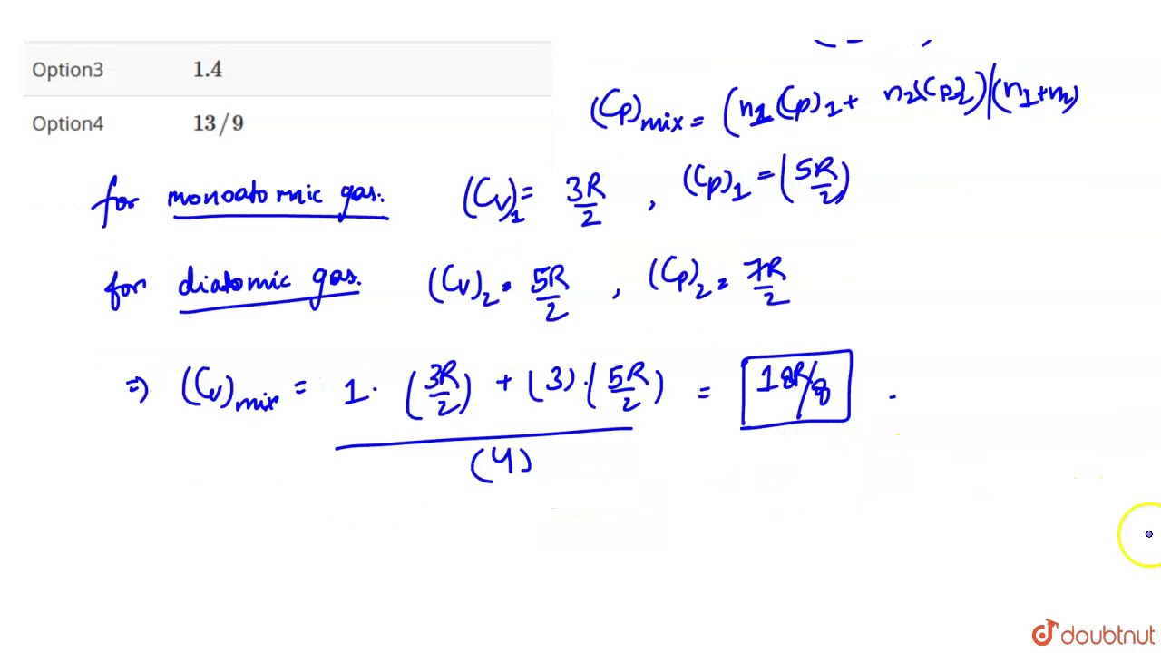
Hence for the given mixture Cvmix 232R 152R 1 2 3R 52R 3 11R6.

Of moles of monatomic gas n1 1 mole No. Class 11 Physics Heat Thermodynamics Thermodynamics. If one mole of a monoatomic gas is mixed with one mole of a diatomic gas the value of for the mixture is. The Questions and Answers of One mole of a monoatomic ideal gas is mixed with one mole of a diatomic ideal gas. One mole of a monoatomic gas is mixed with 3 moles of a diatomic gas. For diatomic gas specific heat at constant volume Cv2 52R.

One Mole Of An Ideal Monoatomic Gas Is Mixed With 1 Mole Of An Ideal Diatomic Gas
| Title: One Mole Of An Ideal Monoatomic Gas Is Mixed With 1 Mole Of An Ideal Diatomic Gas |
| Format: PDF |
| Number of Pages: 274 pages When One Mole Of Monoatomic Gas Is Mixed |
| Publication Date: October 2019 |
| File Size: 800kb |
| Read One Mole Of An Ideal Monoatomic Gas Is Mixed With 1 Mole Of An Ideal Diatomic Gas |

One Mole Of A Mono Atomic Ideal Gas Is Mixed With One Mole Of A Diatomic Ideal Gas The Molar Specific Heat Of The Mixture At Constant Volume Is
| Title: One Mole Of A Mono Atomic Ideal Gas Is Mixed With One Mole Of A Diatomic Ideal Gas The Molar Specific Heat Of The Mixture At Constant Volume Is |
| Format: ePub Book |
| Number of Pages: 328 pages When One Mole Of Monoatomic Gas Is Mixed |
| Publication Date: November 2017 |
| File Size: 2.3mb |
| Read One Mole Of A Mono Atomic Ideal Gas Is Mixed With One Mole Of A Diatomic Ideal Gas The Molar Specific Heat Of The Mixture At Constant Volume Is |

One Mole Of A Monoatomic Gas Is Mixed With 3 Moles Of A Diatomic Gas The Molecular Specific Heat
| Title: One Mole Of A Monoatomic Gas Is Mixed With 3 Moles Of A Diatomic Gas The Molecular Specific Heat |
| Format: eBook |
| Number of Pages: 264 pages When One Mole Of Monoatomic Gas Is Mixed |
| Publication Date: January 2018 |
| File Size: 1.3mb |
| Read One Mole Of A Monoatomic Gas Is Mixed With 3 Moles Of A Diatomic Gas The Molecular Specific Heat |

If One Mole Of A Monoatomic Gas Gamma 5 3 Is Mixed With One Mole Of A Diatomic Gas Gamma 7 5 The Value Of Gamma For The Mixture Is
| Title: If One Mole Of A Monoatomic Gas Gamma 5 3 Is Mixed With One Mole Of A Diatomic Gas Gamma 7 5 The Value Of Gamma For The Mixture Is |
| Format: ePub Book |
| Number of Pages: 346 pages When One Mole Of Monoatomic Gas Is Mixed |
| Publication Date: January 2019 |
| File Size: 2.8mb |
| Read If One Mole Of A Monoatomic Gas Gamma 5 3 Is Mixed With One Mole Of A Diatomic Gas Gamma 7 5 The Value Of Gamma For The Mixture Is |

When 1 Mole Of Monoatomic Gas Is Mixed With 2 Moles Of Diatomic Gas Then Find C P C V F
| Title: When 1 Mole Of Monoatomic Gas Is Mixed With 2 Moles Of Diatomic Gas Then Find C P C V F |
| Format: PDF |
| Number of Pages: 327 pages When One Mole Of Monoatomic Gas Is Mixed |
| Publication Date: February 2018 |
| File Size: 1.1mb |
| Read When 1 Mole Of Monoatomic Gas Is Mixed With 2 Moles Of Diatomic Gas Then Find C P C V F |

When 1 Mole Of A Monatomic Gas Is Mixed With 3 Moles Of A Diatomic Gas The Value Of Adiabatic Exponent Gamma For The Mixture Is
| Title: When 1 Mole Of A Monatomic Gas Is Mixed With 3 Moles Of A Diatomic Gas The Value Of Adiabatic Exponent Gamma For The Mixture Is |
| Format: eBook |
| Number of Pages: 337 pages When One Mole Of Monoatomic Gas Is Mixed |
| Publication Date: September 2019 |
| File Size: 2.3mb |
| Read When 1 Mole Of A Monatomic Gas Is Mixed With 3 Moles Of A Diatomic Gas The Value Of Adiabatic Exponent Gamma For The Mixture Is |

One Mole Of An Ideal Monoatomic Gas Gamma 5 3 Is Mixed With One Mole Of A Diatomic Gas
| Title: One Mole Of An Ideal Monoatomic Gas Gamma 5 3 Is Mixed With One Mole Of A Diatomic Gas |
| Format: PDF |
| Number of Pages: 173 pages When One Mole Of Monoatomic Gas Is Mixed |
| Publication Date: June 2019 |
| File Size: 1.2mb |
| Read One Mole Of An Ideal Monoatomic Gas Gamma 5 3 Is Mixed With One Mole Of A Diatomic Gas |

When 1 Mole Of A Monatomic Gas Is Mixed With 3 Moles Of A Diatomic Gas The Value Of
| Title: When 1 Mole Of A Monatomic Gas Is Mixed With 3 Moles Of A Diatomic Gas The Value Of |
| Format: eBook |
| Number of Pages: 244 pages When One Mole Of Monoatomic Gas Is Mixed |
| Publication Date: September 2020 |
| File Size: 2.1mb |
| Read When 1 Mole Of A Monatomic Gas Is Mixed With 3 Moles Of A Diatomic Gas The Value Of |

Ujjal Dhatt On Phy How To Apply Boiling Point Expressions
| Title: Ujjal Dhatt On Phy How To Apply Boiling Point Expressions |
| Format: eBook |
| Number of Pages: 248 pages When One Mole Of Monoatomic Gas Is Mixed |
| Publication Date: July 2021 |
| File Size: 1.3mb |
| Read Ujjal Dhatt On Phy How To Apply Boiling Point Expressions |

One Mole Of A Monoatomic Gas Is Mixed With Three Moles Of A Diatomic Gas What Is The Molecular Specific Heat Of Mixture At Constant Volume R 8 31 J Mol 1 K 1
| Title: One Mole Of A Monoatomic Gas Is Mixed With Three Moles Of A Diatomic Gas What Is The Molecular Specific Heat Of Mixture At Constant Volume R 8 31 J Mol 1 K 1 |
| Format: eBook |
| Number of Pages: 200 pages When One Mole Of Monoatomic Gas Is Mixed |
| Publication Date: September 2019 |
| File Size: 1.7mb |
| Read One Mole Of A Monoatomic Gas Is Mixed With Three Moles Of A Diatomic Gas What Is The Molecular Specific Heat Of Mixture At Constant Volume R 8 31 J Mol 1 K 1 |

If One Mole Of A Monatomic Gas Gamma 5 3 Is Mixed With One Mole Of A Diatomic Gas Gamma 7
| Title: If One Mole Of A Monatomic Gas Gamma 5 3 Is Mixed With One Mole Of A Diatomic Gas Gamma 7 |
| Format: eBook |
| Number of Pages: 214 pages When One Mole Of Monoatomic Gas Is Mixed |
| Publication Date: February 2019 |
| File Size: 2.3mb |
| Read If One Mole Of A Monatomic Gas Gamma 5 3 Is Mixed With One Mole Of A Diatomic Gas Gamma 7 |
When 1 mole of a monatomic gas is mixed with 3 moles of a diatomic gas the value of adiabatic exponent gamma for the mixture is. When one mole of monoatomic gas is mixed with one mole of a diatomic gas Then the equivalent value of for the mixture will be vibration mode neglected When one mole of monoatomic gas is mixed with one mole of a diatomic gas Then the equivalent value of. For a monatomic gas Specific heat at consent volume Cv1 32R.
Here is all you need to learn about when one mole of monoatomic gas is mixed For a monoatomic gas and a diatomic gas value of Cv are 32R and 52R respectively. The Questions and Answers of One mole of a monoatomic ideal gas is mixed with one mole of a diatomic ideal gas. If one mole of a monoatomic gas is mixed with one mole of a diatomic gas the value of for the mixture is. One mole of an ideal monoatomic gas is mixed with 1 mole of an ideal diatomic gas the molar specific heat of the mixture is when 1 mole of a monatomic gas is mixed with 3 moles of a diatomic gas the value of adiabatic exponent gamma for the mixture is one mole of a mono atomic ideal gas is mixed with one mole of a diatomic ideal gas the molar specific heat of the mixture at constant volume is one mole of an ideal monoatomic gas gamma 5 3 is mixed with one mole of a diatomic gas if one mole of a monatomic gas gamma 5 3 is mixed with one mole of a diatomic gas gamma 7 if one mole of a monoatomic gas gamma 5 3 is mixed with one mole of a diatomic gas gamma 7 5 the value of gamma for the mixture is The molecular specific heat of the mixture at constant pressure is 138xxKxxR.
0 Komentar